Bu videoGeometri dersinin Uzay Geometrisi başlığı altında; Uzay nokta- doğru- düzlem bilgileri, Uzayda iki doğrunun durumları, uzayda iki düzlemin birbirine göre durumları, uzayda doğru ile düzlemin durumları, Düzlemle Doğrunun Durumları, Düzlemde İki Doğrunun Birbirine Göre Durumları, Düzlemde Üç Doğrunun Birbirlerine Göre Durumları, Düzlemde Nokta İle Doğrunun Durumları, Doğruların Düzlemde Ayırdığı Bölge Sayısı vb. içerikler hakkında detaylı bilgileri bulabilirsiniz.
UZAY GEOMETRİSİ
KAVRAM ve TANIMLAR
Geometride nokta, doğru, düzlem ve uzay gibi bazı kavramlar tanımsız olarak kabul edilir. Kalemin veya sivri bir şeyin ucunun bıraktığı ize nokta diyebiliriz. Cetvelin kenarı ile bir doğru çizebiliriz. Sınıfın duvarı, pencere camı birer düzlemdir. Odanın içerisi, herhangi bir cismin kapladığı yer birer uzay belirtirler.
Nokta : « . » Biçiminde ifade edilir ve genellikle büyük harfle gösterilir. Nokta boyutsuzdur.
« . » nokta, « . A” A noktası
Doğru : iki ucuna ok işareti koyulmuş düz bir çizgi ile gösterilir. Doğru küçük harfle veya üzerindeki iki nokta ile gösterilir.
![]() |
d »d doğrusu |
veya AB doğrusu diye okunur. Buradaki A ve B noktaları doğrunun birer elemanıdır.
A Îd ve B Î d biçiminde yazılır.
|
Doğru bir boyutludur. Yani sadece uzunluk söz konusudur.
Düzlem: Uzunluğuna ve genişliğine doğru sonsuza uzayıp giden düz bir yüzeydir. Düzlem iki boyutludur. Sayfa üzerinde paralelkenar gibi gösterilebilir. Paralelkenarın köşesine harfle ismi yazılabilir.
şekildeki düzlem E düzlemi diye isimlendirilir.
| Burada A, B ve C noktaları E düzlemi üzerindedir. Dolayısıyla B ve C noktalarından geçen d doğrusu da E düzlemi üzerindedir. | ![]() |
A Î E
B Î E
C Î E
d Î E
|
1. Düzlemle Doğrunun Durumları
![]() |
Bir doğru düzlemin ya üzerinde, ya dışındadır veya düzlemi bir noktada keser.
d1Ça = d1
d2Ç a = Ø
d Çb = {K}
K noktası kesişen bir doğru ile bir düzlemin arakesitidir.
2. Düzlemde İki Doğrunun Birbirine Göre Durumları
![]() |
|
d1 Ç d2 = Ø
l1 Ç l2 = {A}
Üst üste çizilen çakışık doğrular bir tek doğru kabul edilir.
3. Düzlemde Üç Doğrunun Birbirlerine Göre Durumları
![]() |
Üç doğru paralel olabilir.
d1 // d2 // d3 d1Ç d2Çd3 = Ø
Düzlemde paralel olan iki doğrudan birine paralel olan doğru diğerine de paraleldir.
d1 // d2 ve d2 // d3 ise d1 // d3 olur.
Yalnız ikisi paralel ise, üçüncü doğru paralel doğruları birer noktada keser.
l1 // l2
l1Ç l3 = {A}
l2Ç l3 = {B}
- Düzlemde paralel iki doğrudan birini kesen bir doğru, diğerini de keser.
- Düzlemde paralel iki doğrudan birini dik kesen bir doğru diğerini de dik keser.
![]() |
Üç doğru bir noktada kesişebilir.
k1Ç k2Çk3 = {P}
Üç doğru ikişer ikişer kesişebilir.
t1Ç t2 = {A}
t1 Ç t3 = {B}
t2 Ç t3 = {C}
t1 Ç t2 Çt3 = Ø
4.Düzlemde Nokta İle Doğrunun Durumları
![]() |
|
d2 doğrusu A’dan geçer ve d1 e diktir
|
d3 doğrusu B’den geçer ve d1 e diktir.
|
l2 doğrusu A’dan geçer ve l1 ile paraleldir.
5. Doğruların Düzlemde Ayırdığı Bölge Sayısı
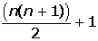
Genel olarak, n adet doğru bir düzlemi en az (n + 1) bölgeye (paralellik hali), en
| fazla | ![]() |
bölgeye ayırır. |
![]() |
- İki doğru, bir düzlemi en az 3 bölgeye, en fazla 4 bölgeye ayırır.
![]() |
- Üç doğru, bir düzlemi en az 4 bölgeye, en fazla 7 bölgeye ayırır.
![]() |
- Dört doğru, bir düzlemi en az 5 bölgeye, en fazla 11 bölgeye ayırır.
UZAY KAVRAMI VE UZAYDA DOĞRULAR
Cisimlerin kapladığı yer ve içinde bulundukları mekan uzaydır. Doğruda sadece uzunluk, düzlemde uzunluk ve genişlik söz konusu idi. Uzayda ise uzunluk ve genişliğin yanında bir de yükseklik kavramı vardır. (Derinlikte denilebilir.) Dolayısıyla uzay üç boyutludur. Uzayda x, y, z eksenleri olduğu için kartezyen koordinat olarak R x R x R veya R3 ile sembolize edilir.
Aşağıda üç boyutlu cisimlerin bazıları belirtilmiştir.
![]() |
1. Uzay Belirtme Aksiyomları
![]() |
|
E düzlemindeki A, B, C noktaları ile düzlem dışındaki P noktası, uzay belirtir.
|
E düzlemi ile bu düzlemin dışındaki P noktası uzay belirtir.
|
d doğrusu F düzleminde olmadığından, F düzlemi ile d doğrusu uzay belirtir.
![]() |
|
Farklı K ve L düzlemleri uzay belirtir. E ve F düzlemlerinin kesişim kümesi d doğrusudur. E Ç F = d dir.
|













